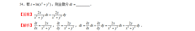
【導讀】對于很多想要參加上海全日制統招專升本的考生來說,部分學科是需要考數學的,但是很多考生數學基礎都不是特別的好,那么復習計數學最有效的方法就是多刷試題,這樣比看書本效果好很多。
展開全文
—— 還想了解更多專升本資訊?預約免費咨詢 ——
你的姓名
*聯系方式
就讀年級
就讀專業
立即預約

上海專升本聲明
(一)由于考試政策等各方面情況的不斷調整與變化,本網站所提供的考試信息僅供參考,請以權威部門公布的正式信息為準。
(二)本網站在文章內容來源出處標注為其他平臺的稿件均為轉載稿,免費轉載出于非商業性學習目的,版權歸原作者所有。如您對內容、版權等問題存在異議請于我們聯系,我們會及時處理。
文章來源于網絡,如有侵權,請聯系刪除






升本福利官
統招報名
升本培訓班
英語四級
教師資格
成考報名



